合作客戶/
拜耳公司 |
同濟大學 |
聯合大學 |
美國保潔 |
美國強生 |
瑞士羅氏 |
相關新聞Info
-
> 泡泡消煙原理,不同質量分數堿劑發泡液表面張力的測試結果
> 超低界面張力的體系的CDEA-12表面活性劑的復配及篩選
> Wilhelmy吊板法測試溫度、鋁元素和稀土元素對鋅浴表面張力的影響
> pH對馬來松香MPA與納米Al2O3顆粒形成的Pickering乳液類型、表/界面張力影響(四)
> 雙季銨基鄰苯二甲酸酯基表面活性劑SHZ16和SHZ14表面張力等性能對比(二)
> 身體對稱性和表面張力有什么關系
> 篩選常用、經濟且可抑制低階煤煤塵的表面活性劑(一)
> 十二烷基硫酸鈉、水楊酸丁酯流動驅動自推進界面張力和表面流速測量
> 基于粒徑、速度、表面張力、黏度測定揭示塵粒?霧滴碰撞行為規律(二)
> 平面流動皂膜表面張力系數、厚度和流動速度實驗裝置及測量方法(一)
推薦新聞Info
-
> 烷基二苯醚/烷基苯混合磺酸鹽靜態表面張力、金屬腐蝕性及凈洗力測定(二)
> 烷基二苯醚/烷基苯混合磺酸鹽靜態表面張力、金屬腐蝕性及凈洗力測定(一)
> 全自動張力測定儀揭示子細胞表面張力對胞質分裂結局的主導作用(二)
> 全自動張力測定儀揭示子細胞表面張力對胞質分裂結局的主導作用(一)
> 煙道氣與正己烷對稠油表面張力的影響機制研究(三)
> 煙道氣與正己烷對稠油表面張力的影響機制研究(二)
> 煙道氣與正己烷對稠油表面張力的影響機制研究(一)
> 變化磁場、零磁場條件下磁性液體表面張力系數測定
> 晶圓級超平整石墨烯載網的批量化制備步驟與應用
> 水性不銹鋼喇叭網抗劃涂料的技術突破與性能優化
基于界面張力消失法計算CO2-原油最小混相壓力
來源:西南石油大學 瀏覽 1250 次 發布時間:2024-06-21
油藏在經歷一次采油(衰竭式采油)和二次采油(注水采油)后平均采收率僅能達到15-20%左右,CO2氣體具有降低原油粘度、膨脹系數大、與原油混相降低界面張力等優點,可在油田注水開發基礎上提高采收率約5~10個百分點。
CO2驅油可分為非混相驅與混相驅,混相驅提高采收率的效果遠遠高于非混相驅,非混相驅與混相驅最重要的區別為是否形成CO2-原油混相帶,混相帶的運移類似于活塞式驅油,CO2與原油通過多次接觸形成混相之后,界面張力消失,毛管力等于零,理論上的洗油效率能達100%。
CO2-原油混相帶的運移在地層中無法直觀的觀察到,多孔介質中混相帶的運移難以描述,CO2混相驅開發動態特征難以預測,會影響采油方案的調整和注氣參數的制定,降低CO2混相驅的開發效率與CO2的利用效率。本方法基于B-L方程提出考慮CO2與原油之間混相程度、儲層重力效應的CO2混相驅混相帶前緣位置的新方法,對揭示CO2混相驅油規律有重大意義。
一種確定油藏尺度CO2混相驅混相帶前緣位置的新方法,包括如下步驟:
步驟1、獲取儲層的孔隙度Φ、滲透率K、井距L、地層傾角θ、油相密度ρo、氣相密度ρg、油相粘度μo、氣相粘度μg
基本信息;
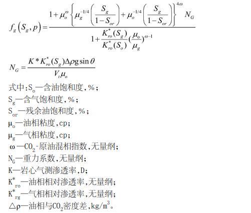
步驟2、利用界面張力消失法獲取CO2-原油最小混相壓力,并根據不同壓力下油氣界面張力計算CO2-原油混相指數;
界面張力消失法獲取CO2-原油最小混相壓力及CO2-原油混相指數的計算如下:
使用石油醚將高溫高壓界面張力儀中的懸滴室清洗干凈,清洗之后用熱氮氣吹掃,將懸滴室抽至真空;
將測試系統加熱至地層溫度后保持恒定,隨后向懸滴室內逐漸注入CO2的同時對系統加壓達到實驗設定壓力值;
測試系統壓力和溫度趨于穩定后,在預定的壓力值下將地層原油樣品通過毛細探針緩慢地向懸滴室注入,當油滴在探針頂端形成穩定的油滴時,用裝置中的攝像系統拍下油滴形狀的圖片,根據油滴的形狀用Andreas選面法計算出CO2-原油間的界面張力。至此完成一個壓力下的界面張力測試;
將懸滴室重新洗凈,改變壓力重復上述步驟進行其他壓力下的CO2-原油界面張力測試,直至油相在懸滴室中的CO2中不能形成完整的油滴時結束實驗。
基于不同壓力CO2-油界面張力變化計算CO2-原油混相指數的公式為:
步驟3、在CO2驅油過程中,存在氣相與油相兩相速度場,基于達西定律計算傾斜儲層中油相與氣相的運移速度;
基于達西定律計算傾斜儲層中油相與氣相的運移速度的公式如下:
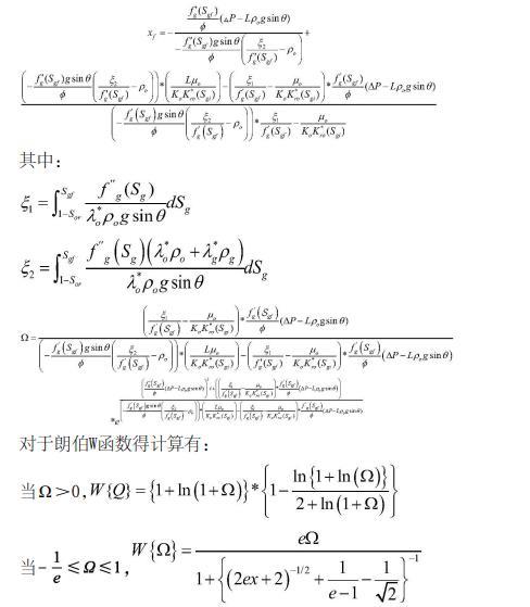
步驟4、基于B-L方程、質量守恒方程、氣體分流率方程,利用油藏中油/氣運移速度方程得到CO2混相驅混相帶前緣位置模型。
結合CO2黏度、原油黏度,推導出具有重力效應的帶傾角儲層氣體分流率方程為:
將速度場方程與氣體分流率方程結合,在遵循氣體質量守恒的基礎上,從CO2入口端到混相帶前緣對含氣飽和度進行積分,并用朗伯W函數求解得出混相前緣的位置,其表達式如下:





