合作客戶/
拜耳公司 |
同濟大學 |
聯合大學 |
美國保潔 |
美國強生 |
瑞士羅氏 |
相關新聞Info
推薦新聞Info
-
> 烷基二苯醚/烷基苯混合磺酸鹽靜態表面張力、金屬腐蝕性及凈洗力測定(二)
> 烷基二苯醚/烷基苯混合磺酸鹽靜態表面張力、金屬腐蝕性及凈洗力測定(一)
> 全自動張力測定儀揭示子細胞表面張力對胞質分裂結局的主導作用(二)
> 全自動張力測定儀揭示子細胞表面張力對胞質分裂結局的主導作用(一)
> 煙道氣與正己烷對稠油表面張力的影響機制研究(三)
> 煙道氣與正己烷對稠油表面張力的影響機制研究(二)
> 煙道氣與正己烷對稠油表面張力的影響機制研究(一)
> 變化磁場、零磁場條件下磁性液體表面張力系數測定
> 晶圓級超平整石墨烯載網的批量化制備步驟與應用
> 水性不銹鋼喇叭網抗劃涂料的技術突破與性能優化
表面張力在調控液滴-薄膜體系平衡構型的作用機制
來源:力學家 瀏覽 1470 次 發布時間:2023-12-19
表面張力是固體的重要表面物理參數,決定著材料的諸多特性,例如浸潤性能、毛細彈性變形、微納米結構材料的力學行為等。長期以來,固體材料表面張力的確定一直是一個挑戰性的課題。對于具有晶體結構的固體而言,其表面張力一般與表面能不同,這兩者的關系通過經典的Shuttleworth關系給出。然而,對于具有無定型態特征的高分子材料來說,其表面張力與表面能的關系并不清楚。在已有研究中,即使采用相似的實驗方案,得到的結論也明顯不同。其根本原因在于,固體的表面張力難以直接測量,一般通過其對固體變形的影響來反演推測,但由于高分子材料的表面張力對其宏觀變形影響很小,導致目前仍然缺乏可靠的分析方法來確定高分子材料的表面張力。
基于此背景,北京航空航天大學邵麗華教授、杜鋒助理教授及其合作者發展了一種基于液滴-薄膜體系來確定固體表面張力的理論模型,并通過實驗進行了驗證。如圖1所示,在液滴作用下,薄膜發生鼓包變形。該項工作首先建立了確定液滴-薄膜系統(圖1)平衡構型的理論模型,研究了薄膜表面彈性模量和表面張力在決定該系統平衡構型中的作用機制,給出了確定平衡構型的五個非線性方程。通過系統自由能最小原理,可以確定系統的平衡構型。當薄膜的變形是小量時,可以得到該平衡構型的解析解。
圖1液滴作用下薄膜的變形過程
如圖2所示,在給定的一組材料參數條件下,可以基于本文的理論模型確定薄膜的鼓包角、液滴鋪展角、薄膜總張力和彈性張力,由此給出了液滴-薄膜系統的平衡構型。對比圖2中不同參數組合的結果可以看出,薄膜表面彈性模量對平衡構型的影響很小,而薄膜的表面張力對平衡構型有決定性作用。當薄膜的剛度較大時,采用解析解確定的平衡構型跟采用數值解的結果符合很好。
圖2(a)薄膜鼓包角、(b)液滴鋪展角、(c)薄膜總張力和(d)薄膜彈性張力隨薄膜剛度變化趨勢。其中實線和點線是數值解結果,虛線是解析解結果。
基于該平衡構型的解析解,本研究發現薄膜在接觸線附近的彈性應變可以由薄膜的鼓包角解析給出。由此,本文給出了在一般條件下,薄膜在接觸線附近的彈性應變隨鼓包角的解析關系。圖3表明,基于該解析關系給出的薄膜彈性應變可以很好的描述薄膜總張力隨薄膜厚度及接觸線附近應變的演化規律。基于此,本文提出了采用線性外推薄膜總張力隨薄膜厚度和接觸線附近薄膜應變乘積的方法來確定固體表面張力的方案。
圖3薄膜總張力隨薄膜厚度及應變乘積的演化關系
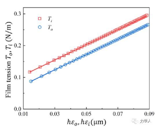
根據本文提出的固體表面張力測試方案,該研究基于PDMS薄膜開展了相應的實驗測試,結果如圖4所示。從圖4中可以看出,采用水和甘油均可獲得PDMS的表面張力,測試結果的一致性較好,表明該方法可以有效的獲得固體的表面張力。
圖4實驗測量PDMS薄膜的表面張力
綜上所述,本文基于理論模型揭示了表面張力在調控液滴-薄膜體系平衡構型的作用機制,首次發現了薄膜張力隨薄膜鼓包角的非線性解析關系,以此完善了基于薄膜-液滴體系確定固體表面張力的方案,可用于對高分子材料表面張力的實驗測量和探索高分子材料表面張力與表面能的關系。
相關成果以A theoretical model to determine solid surface tension through droplet on film configuration and experimental verification為題發表在固體力學旗艦期刊Journal of the Mechanics and Physics of Solids。北京航空航天大學交通科學與工程學院杜鋒助理教授為論文第一作者,北京航空航天大學航空學院邵麗華教授為本論文的通訊作者,論文共同作者還包括北京大學呂鵬宇助理教授、李宏源助理研究員和王建祥教授。該研究得到了國家自然科學基金項目的資助。





