拜耳公司 |
同濟大學 |
聯合大學 |
美國保潔 |
美國強生 |
瑞士羅氏 |
影響表面張力的因素有那些?
來源:本站原創 瀏覽 1955 次 發布時間:2019-08-02
影響表面張力的因素有物質的本性、溫度和壓力,除此之外,一種物質中加入另一種物質,或由多種物質所形成的溶液對液體的表面張力也有影響。

1.物質的本性
不同的物質具有不同的表面張力,主要是不同物質分子間的作用力不同。對非極性有機液體(如前述的用于油墨連結料的植物油等),分子間的相互作用主要是色散力,表面張力一般較小,如正己烷在20℃下,γ=1.84×10-2 N/m;對有氫鍵作用力存在的液體,表面張力較大,如水在20℃下,γ=7.27×10-2 N/m;對有金屬鍵存在的液體,表面張力值更大,如汞在20℃下,γ=48.65×10-2 N/m;現已知的表面張力最低的液態He,在1K下,γ=3.65×10-4N/m;表面張力最大的是液態Fe,在其熔點1550℃下,γ=1.88N/m。
2.溫度的影響
液體表面張力受溫度影響較大,一般溫度升高,液體的表面張力下降,即表面張力的溫度系數dγ/dT為負值,也有溫度系數為正值的,如液態Cu、液態Zn等。
大多數液體的表面張力隨溫度升高呈直線下降,但在臨界溫度以前(距臨界溫度30K以內)有明顯偏差。一般線性關系最簡單的形式為:
γ=γ0(1+bT)(1-10)
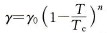
式中,T為熱力學溫度,b為溫度系數。此外,還有經驗關系式
(1-11)
式中,Tc為液體物質的臨界溫度,n為經驗常數,有機液體n的平均值為1.21。當溫度為Te時,表面張力趨于零。表1-2為水在不同溫度下的表面張力。
表1-2水在不同溫度下的表面張力

3.壓力的影響
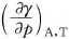
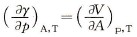
由熱力學基本關系式dG=-SdT+Vdp+γdA可知,在溫度T一定時,根據全微分的性質,有
(1-12)
由于表面層物質的密度低于液體相密度,所以一般dV為正值,則
亦為正值,即表面張力隨壓力的增加而增加。但實際情況則相反,表現為隨壓力的增加而減小。通常,液體的表面張力是指該液體與含有該液體的蒸氣的空氣相接觸時的值,因為在一定溫度下液體的蒸氣壓是定值,因此,只能通過改變氣相中空氣的壓力或通人惰性氣體改變氣相的壓力。氣相壓力增加,氣相中物質在液體中的溶解度增加,并可能產生吸附,導致表面張力下降。壓力對表面張力的影響與氣體的溶解及吸附對表面張力的影響相比,后者要大得多。因此,液體表面張力一般隨氣相壓力的增加而降低。如水在20℃、0.098MPa壓力下表面張力為7.27×10-2 N/m,但壓力上升到9.8MPa時,表面張力下降到6.64×10-2 N/m。
上海謂載科技有限公司是芬蘭Kibron在中國的總代理和售后服務中心。產品有:便攜式表面張力儀、高通量表面張力儀、LB膜分析儀、界面張力儀、郎繆爾張力儀、超微量天平等表面化學儀器。高通量表面張力儀滿足了化學工業對高精度、自動化、海量樣品篩選的挑戰。我們一直注重于產品創新、優化用戶體驗和提供可靠的服務。





