合作客戶/
拜耳公司 |
同濟大學 |
聯合大學 |
美國保潔 |
美國強生 |
瑞士羅氏 |
相關新聞Info
-
> 表面活性素制備、分離純化、溶液表面張力測定及膠束化行為研究(三)
> 電場強度大小對表面張力、液滴鋪展變形運動的影響
> 如何利用全自動表面張力儀判斷牛奶的純度?是否添加添加劑?
> 兩種烷基咪唑亞磷酸酯離子液體熱穩定性、表面張力測定(一)
> 海洋環境表面活性物質來源及對海洋飛沫氣溶膠數濃度、粒徑分布、理化性質的影響(四)
> 大自然中有許多奧秘
> 不同界面張力-潤濕性組合的滲吸液體系對于化學滲吸效果的影響規律
> FYXF-3煤粉懸浮劑潤濕吸附性能、?傷害性能及在煤層氣壓裂改造現場的實施方案(二)
> 正丁醇水溶液表面張力的測定原理及計算過程
> 低界面張力納米流體提高低滲透油藏壓裂滲吸速率和采收率(二)
推薦新聞Info
-
> 烷基二苯醚/烷基苯混合磺酸鹽靜態表面張力、金屬腐蝕性及凈洗力測定(二)
> 烷基二苯醚/烷基苯混合磺酸鹽靜態表面張力、金屬腐蝕性及凈洗力測定(一)
> 全自動張力測定儀揭示子細胞表面張力對胞質分裂結局的主導作用(二)
> 全自動張力測定儀揭示子細胞表面張力對胞質分裂結局的主導作用(一)
> 煙道氣與正己烷對稠油表面張力的影響機制研究(三)
> 煙道氣與正己烷對稠油表面張力的影響機制研究(二)
> 煙道氣與正己烷對稠油表面張力的影響機制研究(一)
> 變化磁場、零磁場條件下磁性液體表面張力系數測定
> 晶圓級超平整石墨烯載網的批量化制備步驟與應用
> 水性不銹鋼喇叭網抗劃涂料的技術突破與性能優化
浮選藥劑的性能、組合用藥機理及協同效應的影響因素(二)
來源:金屬礦山 瀏覽 1018 次 發布時間:2025-02-05
3不同官能團浮選藥劑組合使用的協同效應
與同系列捕收劑組合不同,極性基不同的藥劑組合產生的協同效應更為復雜,為便于研究,本研究以油酸鈉為研究對象。
3.1乳化劑作用下油酸鈉溶液表面張力與浮選效果的關系
熱力學第二定律的表達式為
式中,γ為界面張力,mN/m;G為吉布斯自由能,kJ/mol;A為表面積,m2。在溫度T、壓力P和組分n一定的情況下,設G和γ均是表面積A的函數,那么式(2)的偏微分式將變為微分式,即
設加入表面活性劑后界面張力由γ1減小到γ2,當A發生變化時,G的變化分別由式(4)、式(5)計算:
式中,ΔG1為未加表面活性劑體系自由能的變化,kJ/mol;ΔG2為加表面活性劑體系自由能的變化,kJ/mol。
當A2>A1,則
即ΔG2<ΔG1,說明加入表面活性劑后,體系中非水溶性物質的表面積增加(大油滴變為小油滴)需要的能量較低,即較容易分散。
同理,當A2<A1,則ΔG2>ΔG1,說明加入表面活性劑后,體系中非水溶性物質的表面積減小(小油滴變為大油滴)需要的能量較高,即過程自發進行的能力降低。
對于在水中溶解度較低的捕收劑,如油酸或低溫下的油酸鈉,加入表面活性劑后,油-水界面張力降低,有助于油酸藥效的發揮。油-水界面張力難以測定,但可用溶液的表面張力來衡量,油酸鈉溶液及加入表面活性劑后的油酸鈉溶液的表面張力與油酸鈉濃度C的關系見圖1。
圖1油酸鈉溶液表面張力與濃度關系
從圖1可以看出,加入表面活性劑OH(CH2CH2O)nH或R—C18H26O3,都可降低油酸鈉溶液的表面張力,且油酸鈉+OH(CH2CH2O)nH溶液的表面張力大于油酸鈉+R—C18H26O3溶液的表面張力。
根據熱力學推演,OH(CH2CH2O)nH和R—C18H26O3都可用于提高低溫下油酸鈉的藥效,并且R—C18H26O3效果優于OH(CH2CH2O)nH。一水硬鋁石和高嶺石的浮選試驗證明,OH(CH2CH2O)nH和R—C18H26O3均可提高油酸鈉的浮選性能,并且R—C18H26O3的低溫性能好于OH(CH2CH2O)nH。由此可見,乳化劑對表面張力的降低程度可能與協同效應有一定關系。
3.2油酸鈉和表面活性劑疏水鏈間的相互作用與浮選效果的關系
表面活性劑濃度超過一定量后會從單體締合成膠態聚合物,溶液的表面張力或電導率等性質發生突變時的濃度就是形成膠團時的濃度。因此,通過測定表面張力或電導率就可測出CMC,油酸鈉與磺酸類捕收劑和羧酸類捕收劑組合后的表面活性參數見表3。
表3油酸鈉與磺酸鹽和羧酸混合水溶液的表面活性參數(298 K)×10-3 mol/L
浮選藥劑的協同效應與浮選藥劑之間的相互作用有密切的聯系。經熱力學推導,得出表面活性劑頭基與頭基相互作用強弱指標的計算公式為
式中,β為表面活性劑頭基與頭基相互作用的強弱指標;xm1為膠團中組分1所占的摩爾分數,計算時代入小數,其值的計算公式為
Maeda和Ruiz等認為混合體系中疏水鏈與疏水鏈和頭基與頭基之間的相互作用都影響膠束的穩定性。式(6)僅解釋了頭基與頭基之間的相互作用,不包含表面活性劑疏水部分之間的鏈段與鏈段的作用,因此,Maeda提出了另外一個疏水鏈與疏水鏈相互作用參數B1,其計算公式為
為便于求xm1,設
根據表3中的數據,將油酸鈉和十二烷基硫酸鈉的CMC值代入式(9)和式(10),用Origin軟件作g(xm1)和f(xm1)關于xm1的曲線,如圖2所示。
圖2 g(x m1)和f(x m1)關于x m 1的曲線
由圖2可得出2曲線的交點C的坐標為(0.707,-0.062),即xm1=0.707。將xm1=0.707代入(6)式,得β=-1.34;代入(8)式,得B1=-2.93。
同理,油酸鈉與十二烷基苯磺酸鈉的β1=-2.55,油酸鈉與肉豆蔻酸的β=-5.43,油酸鈉和棕櫚酸的β=-3.29,則油酸鈉與十二烷基苯磺酸鈉的疏水鏈與疏水鏈的B1=-2.05,油酸鈉與肉豆蔻酸的疏水鏈與疏水鏈的B1=-6.92,油酸鈉與棕櫚酸的疏水鏈與疏水鏈的B1=-3.39。
油酸鈉和磺酸鹽類表面活性劑組合后用于一水硬鋁石的浮選,試驗結果表明,十二烷基硫酸鈉能明顯改善一水硬鋁石的浮選效果,十二烷基苯磺酸鈉不明顯,肉豆蔻酸的效果好于棕櫚酸。可見,浮選試驗結果與藥劑疏水鏈之間的相互作用強弱順序一致,而與頭基與頭基之間的相互作用強弱順序不一致,組合藥劑的協同效應可能與疏水鏈與疏水鏈相互作用能有關。
3.3羧酸類捕收劑與苯甲羥肟酸的組合使用
羧酸類捕收劑與苯甲羥肟酸是兩類典型的氧化礦浮選組合藥劑,兩者都可用于白鎢礦浮選,兩類藥劑的浮選試驗結果如表4所示。
表4不同浮選方法選白鎢礦的浮選指標
由表4可知,733與苯甲羥肟酸組合藥劑的浮選效果好于油酸與苯甲羥肟酸的組合藥劑。下面以這兩種藥劑為例,討論基團電負性和極性基斷面尺寸與協同效應的關系。藥劑基團電負性和極性基斷面尺寸都影響藥劑選擇性,經推導,兩種捕收劑的參數若滿足,則極性基斷面尺寸是藥劑選擇性的主要影響因素,其中,Δxg為基團電負性的差值,取正值;xg為基團電負性值,計算時代入兩者中的較大值;x0為氧的負電性;δ為極性基斷面尺寸,10-10m;Δδ為極性基斷面尺寸的差值,取正值。
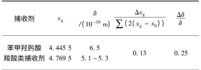
經計算,羧酸類捕收劑與苯甲羥肟酸的基團電負性和極性基斷面尺寸如表5所示。
由表5得,極性基幾何大小是藥劑選擇性差異的主要影響因素。一般來說,藥劑極性基幾何尺寸越大,其選擇性越好。苯甲羥肟酸的極性基斷面尺寸大于羧酸根離子,故苯甲羥肟酸的選擇性好于羧酸類捕收劑。碳鏈較長的羧酸類捕收劑捕收性較好,因此,捕收性好的羧酸類捕收劑和選擇性好的苯甲羥肟酸組合,在浮選白鎢礦時因產生協同效應而取得良好指標。如前所述,羧酸類捕收劑的選擇性和溶解性隨碳鏈增長而降低,因此,在確保捕收劑具有良好捕收性的條件下,為獲得更好的精礦品位,可使用碳鏈較短的羧酸類捕收劑733與苯甲羥肟酸組合使用。
表5羧酸類捕收劑和苯甲羥肟酸捕收劑性能比較
浮選試驗和理論計算表明,組合藥劑的浮選效果和協同效應與基團電負性和極性基斷面尺寸有關。深入研究藥劑的捕收性判據和選擇性判據將有助于指導組合用藥。
4結論
(1)碳鏈長度影響浮選藥劑的疏水性,但幾乎不影響價鍵特性,當碳鏈長度大于捕收劑要求的最短碳鏈長度時,碳鏈長度相差越大,組合藥劑浮選效果越好,協同效應越明顯。碳鏈不飽和度影響藥劑的價鍵特性和疏水性,不飽和度相差越大,價鍵特性和疏水性差別越大,碳鏈長度相同而飽和度不同的捕收劑組合使用,飽和度相差較大浮選效果較好,協同效應越明顯。
(2)不具有捕收性或捕收性較弱的乳化劑也影響浮選效果,熱力學計算和浮選試驗表明,乳化劑使溶液表面張力下降越大,浮選效果越好。浮選效果與疏水鏈-疏水鏈相互作用強度密切相關。
(3)組合藥劑的浮選效果與藥劑結構參數,如基團電負性、量子化學參數、空間幾何大小等有關,也與表面活性劑的物理化學性質,如CMC值和表面張力有關。研究組合藥劑的協同效應應同時研究浮選藥劑結構性能和表面活性劑的物理化學性質。





